| Name |
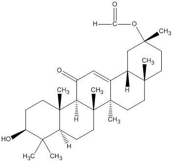
Liquiritic acid |
| Formula |
C30H46O4 |
| Mw |
470.33960996 |
| CAS RN |
10379-72-3 |
| C_ID |
C00051294
|
| InChIKey |
VTGOXJOVYJLROE-DKGDGBJLNA-N |
| InChICode |
InChI=1S/C30H46O4/c1-25(2)21-8-11-30(7)23(28(21,5)10-9-22(25)32)20(31)16-18-19-17-27(4,24(33)34)13-12-26(19,3)14-15-29(18,30)6/h16,19,21-23,32H,8-15,17H2,1-7H3,(H,33,34)/t19-,21-,22-,23+,26+,27+,28-,29+,30+/m0/s1 |
| SMILES |
CC1(C)[C@@H](O)CC[C@]2(C)[C@H]3C(=O)C=C4[C@@H]5C[C@](C)(OC=O)CC[C@]5(C)CC[C@@]4(C)[C@]3(C)CC[C@@H]12 |
| Start Substs in Alk. Biosynthesis (Prediction) |
|
| Organism |
| Kingdom |
Family |
Species |
Reference |
| Plantae | Fabaceae | Glycyrrhiza glabra  | Ref. |
|
|
zoom in
|