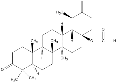
| Name |
Liquidambronovic acid |
| Formula |
C30H46O3 |
| Mw |
454.34469533 |
| CAS RN |
65688-53-1 |
| C_ID |
C00051293
|
| InChIKey |
XLYMSCWACATZPE-IQBKECSQNA-N |
| InChICode |
InChI=1S/C30H46O3/c1-18-10-15-30(25(32)33)17-16-28(6)20(24(30)19(18)2)8-9-22-27(5)13-12-23(31)26(3,4)21(27)11-14-29(22,28)7/h19-22,24H,1,8-17H2,2-7H3,(H,32,33)/t19-,20+,21-,22+,24-,27-,28+,29+,30-/m0/s1 |
| SMILES |
C=C1CC[C@]2(OC=O)CC[C@]3(C)[C@H](CC[C@@H]4[C@@]5(C)CCC(=O)C(C)(C)[C@@H]5CC[C@]43C)[C@@H]2[C@H]1C |
| Start Substs in Alk. Biosynthesis (Prediction) |
|
| Organism |
| Kingdom |
Family |
Species |
Reference |
| Plantae | Hamamelidaceae | Liquidambar formosana  | Ref. |
|
|
zoom in
|