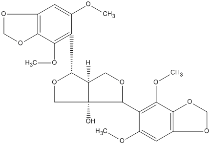
| Name |
Leptostachyol |
| Formula |
C24H26O11 |
| Mw |
490.14751167 |
| CAS RN |
35942-44-0 |
| C_ID |
C00051245
|
| InChIKey |
ZJVIKCAXFOBLGX-KCBPPYHUNA-N |
| InChICode |
InChI=1/C24H26O11/c1-26-12-5-14-19(34-9-32-14)21(28-3)16(12)18-11-7-30-23(24(11,25)8-31-18)17-13(27-2)6-15-20(22(17)29-4)35-10-33-15/h5-6,11,18,23,25H,7-10H2,1-4H3/t11-,18+,23-,24-/s2 |
| SMILES |
COc1cc2c(c(OC)c1C1OC[C@@H]3[C@@H](c4c(OC)cc5c(c4OC)OCO5)OC[C@]13O)OCO2 |
| Start Substs in Alk. Biosynthesis (Prediction) |
|
| Organism |
| Kingdom |
Family |
Species |
Reference |
| Plantae | Euphorbiaceae | Speranskia tuberculata | Ref. |
|
|
zoom in
|