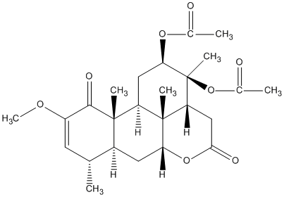
| Name |
Kusulactone |
| Formula |
C25H34O8 |
| Mw |
462.22536806 |
| CAS RN |
95851-19-7 |
| C_ID |
C00051176
|
| InChIKey |
KKKBNDJGZIGAIY-HMJRPPTQNA-N |
| InChICode |
InChI=1S/C25H34O8/c1-12-8-16(30-7)22(29)23(4)15(12)9-19-24(5)17(23)10-20(31-13(2)26)25(6,33-14(3)27)18(24)11-21(28)32-19/h8,12,15,17-20H,9-11H2,1-7H3/t12-,15+,17-,18-,19-,20-,23+,24-,25+/m1/s1 |
| SMILES |
COC1=C[C@@H](C)[C@@H]2C[C@H]3OC(=O)C[C@H]4[C@](C)(OC(C)=O)[C@H](OC(C)=O)C[C@H]([C@@]2(C)C1=O)[C@@]34C |
| Start Substs in Alk. Biosynthesis (Prediction) |
|
| Organism |
| Kingdom |
Family |
Species |
Reference |
| Plantae | Simaroubaceae | Picrasma quassioides  | Ref. |
|
|
zoom in
|