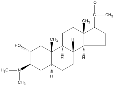
| Name |
Kurchiline |
| Formula |
C23H39NO2 |
| Mw |
361.2980795 |
| CAS RN |
1433-89-2 |
| C_ID |
C00051174
|
| InChIKey |
GJSNFPYLOSEROJ-CHNAUELUNA-N |
| InChICode |
InChI=1S/C23H39NO2/c1-14(25)17-8-9-18-16-7-6-15-12-20(24(4)5)21(26)13-23(15,3)19(16)10-11-22(17,18)2/h15-21,26H,6-13H2,1-5H3/t15-,16-,17+,18-,19-,20+,21+,22+,23-/m0/s1 |
| SMILES |
CC(=O)C1CC[C@H]2[C@@H]3CC[C@H]4C[C@@H](N(C)C)[C@H](O)C[C@]4(C)[C@H]3CC[C@]12C |
| Start Substs in Alk. Biosynthesis (Prediction) |
|
| Organism |
| Kingdom |
Family |
Species |
Reference |
| Plantae | Apocynaceae | Holarrhena antidysenterica  | Ref. |
|
|
zoom in
|