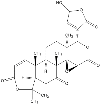
| Name |
Kihadanin B |
| Formula |
C26H30O9 |
| Mw |
486.18898256 |
| CAS RN |
73793-68-7 |
| C_ID |
C00051140
|
| InChIKey |
LUSHRJRLUBDDTB-MUUIPRAHNA-N |
| InChICode |
InChI=1S/C26H30O9/c1-22(2)14-11-15(27)25(5)13(23(14,3)8-7-16(28)34-22)6-9-24(4)18(12-10-17(29)32-20(12)30)33-21(31)19-26(24,25)35-19/h7-8,10,13-14,17-19,29H,6,9,11H2,1-5H3/t13-,14+,17?,18+,19-,23-,24+,25+,26-/m1/s1 |
| SMILES |
CC1(C)OC(=O)C=C[C@]2(C)[C@H]3CC[C@@]4(C)[C@H](C5=CC(O)OC5=O)OC(=O)[C@H]5O[C@]54[C@]3(C)C(=O)C[C@@H]12 |
| Start Substs in Alk. Biosynthesis (Prediction) |
|
| Organism |
| Kingdom |
Family |
Species |
Reference |
| Plantae | Rutaceae | Dictamnus dasycarpus  | Ref. |
| Plantae | Rutaceae | Phellodendron amurense  | Ref. |
|
|
zoom in
|