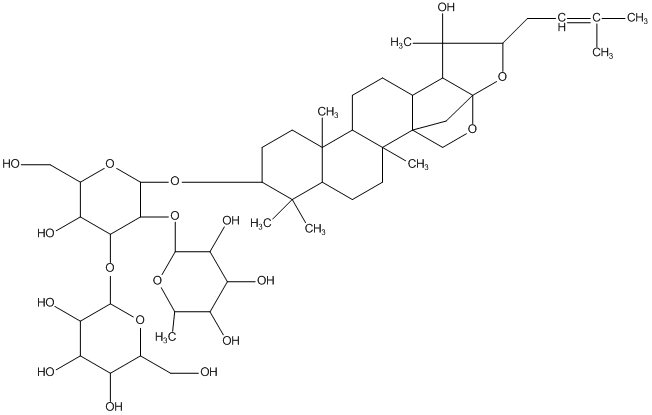
| Name |
Jujubasaponin IV |
| Formula |
C48H78O18 |
| Mw |
942.51881569 |
| CAS RN |
146445-93-4 |
| C_ID |
C00051047
|
| InChIKey |
WBZFXTIEMCPGMN-UHFFFAOYNA-N |
| InChICode |
InChI=1S/C48H78O18/c1-21(2)9-12-29-46(8,58)39-23-10-11-27-44(6)15-14-28(43(4,5)26(44)13-16-45(27,7)47(23)19-48(39,66-29)59-20-47)63-42-38(65-40-35(56)33(54)30(51)22(3)60-40)37(32(53)25(18-50)62-42)64-41-36(57)34(55)31(52)24(17-49)61-41/h9,22-42,49-58H,10-20H2,1-8H3 |
| SMILES |
CC(C)=CCC1OC23CC4(CO2)C(CCC2C5(C)CCC(OC6OC(CO)C(O)C(OC7OC(CO)C(O)C(O)C7O)C6OC6OC(C)C(O)C(O)C6O)C(C)(C)C5CCC24C)C3C1(C)O |
| Start Substs in Alk. Biosynthesis (Prediction) |
|
| Organism |
| Kingdom |
Family |
Species |
Reference |
| Plantae | Rhamnaceae | Ziziphus jujuba  | Ref. |
| Plantae | Rhamnaceae | Zizyphus jujuba  | Ref. |
|
|
zoom in
|