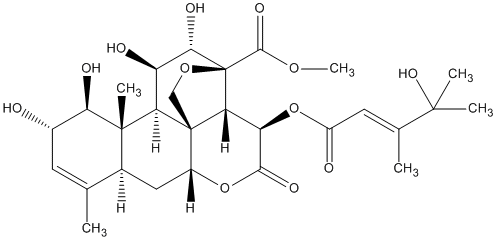
| Name |
Javanicolide D |
| Formula |
C28H38O12 |
| Mw |
566.23632668 |
| CAS RN |
713503-91-4 |
| C_ID |
C00051029
|
| InChIKey |
BYOUNBVBMRXOLD-RWONVOLPNA-N |
| InChICode |
InChI=1S/C28H38O12/c1-11-7-14(29)21(32)26(5)13(11)9-15-27-10-38-28(24(35)37-6,22(33)17(31)19(26)27)20(27)18(23(34)39-15)40-16(30)8-12(2)25(3,4)36/h7-8,13-15,17-22,29,31-33,36H,9-10H2,1-6H3/b12-8+/t13-,14-,15+,17+,18+,19+,20+,21+,22-,26-,27+,28-/m0/s1 |
| SMILES |
COC(=O)[C@@]12OC[C@]34[C@H]([C@@H](O)[C@@H]1O)[C@@]1(C)[C@H](O)[C@@H](O)C=C(C)[C@@H]1C[C@H]3OC(=O)[C@H](OC(=O)/C=C(C)C(C)(C)O)[C@@H]24 |
| Start Substs in Alk. Biosynthesis (Prediction) |
|
| Organism |
| Kingdom |
Family |
Species |
Reference |
| Plantae | Simaroubaceae | Brucea javanica  | Ref. |
|
|
zoom in
|