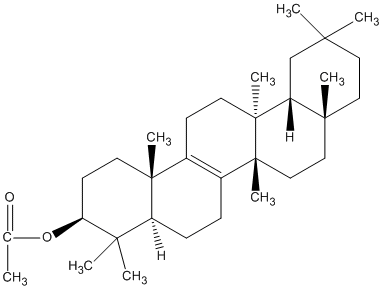
| Name |
Isomultiflorenyl acetate |
| Formula |
C32H52O2 |
| Mw |
468.3967309 |
| CAS RN |
22611-25-2 |
| C_ID |
C00050959
|
| InChIKey |
IQPSCJJRYFMIOC-ZJHZAFJQNA-N |
| InChICode |
InChI=1S/C32H52O2/c1-21(33)34-26-13-14-30(7)22-12-15-32(9)25-20-27(2,3)16-17-29(25,6)18-19-31(32,8)23(22)10-11-24(30)28(26,4)5/h24-26H,10-20H2,1-9H3/t24-,25+,26-,29+,30+,31+,32-/m0/s1 |
| SMILES |
CC(=O)O[C@H]1CC[C@]2(C)C3=C(CC[C@H]2C1(C)C)[C@@]1(C)CC[C@@]2(C)CCC(C)(C)C[C@H]2[C@]1(C)CC3 |
| Start Substs in Alk. Biosynthesis (Prediction) |
|
| Organism |
| Kingdom |
Family |
Species |
Reference |
| Plantae | Cucurbitaceae | Benincasa cerifera  | Ref. |
| Plantae | Cucurbitaceae | Benincasa hispida  | Ref. |
|
|
zoom in
|