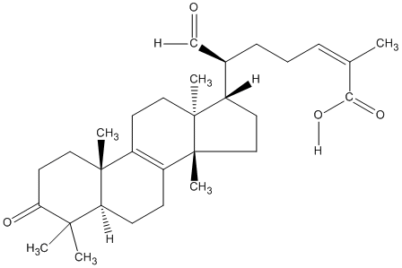
| Name |
Isomasticadienonalic acid |
| Formula |
C30H44O4 |
| Mw |
468.32395989 |
| CAS RN |
62499-11-0 |
| C_ID |
C00050955
|
| InChIKey |
CTZUXTNMDDRMNB-UVDSBWARNA-N |
| InChICode |
InChI=1S/C30H44O4/c1-19(26(33)34)8-7-9-20(18-31)21-12-16-30(6)23-10-11-24-27(2,3)25(32)14-15-28(24,4)22(23)13-17-29(21,30)5/h8,18,20-21,24H,7,9-17H2,1-6H3,(H,33,34)/b19-8-/t20-,21+,24+,28-,29+,30-/m1/s1 |
| SMILES |
C/C(=C/CC[C@H](C=O)[C@@H]1CC[C@]2(C)C3=C(CC[C@@]12C)[C@@]1(C)CCC(=O)C(C)(C)[C@@H]1CC3)C(=O)O |
| Start Substs in Alk. Biosynthesis (Prediction) |
|
| Organism |
| Kingdom |
Family |
Species |
Reference |
| Plantae | Anacardiaceae | Schinus molle  | Ref. |
|
|
zoom in
|