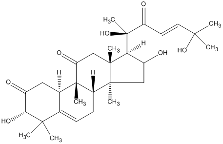
| Name |
Isocucurbitacin D (+)-Isocucurbitacin D |
| Formula |
C30H44O7 |
| Mw |
516.30870376 |
| CAS RN |
68422-20-8 |
| C_ID |
C00050896
|
| InChIKey |
ALPSEMFPAVSKJO-AVBBQOQMNA-N |
| InChICode |
InChI=1S/C30H44O7/c1-25(2,36)12-11-21(33)30(8,37)23-19(32)14-27(5)20-10-9-16-17(13-18(31)24(35)26(16,3)4)29(20,7)22(34)15-28(23,27)6/h9,11-12,17,19-20,23-24,32,35-37H,10,13-15H2,1-8H3/b12-11+/t17-,19-,20+,23+,24-,27+,28-,29+,30+/m1/s1 |
| SMILES |
CC(C)(O)/C=C/C(=O)[C@](C)(O)[C@H]1C(O)C[C@@]2(C)[C@@H]3CC=C4[C@@H](CC(=O)[C@@H](O)C4(C)C)[C@]3(C)C(=O)C[C@]12C |
| Start Substs in Alk. Biosynthesis (Prediction) |
|
| Organism |
| Kingdom |
Family |
Species |
Reference |
| Plantae | Hemerocallidaceae | Phormium tenax  | Ref. |
|
|
zoom in
|