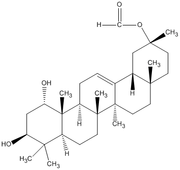
| Name |
Imberbic acid (+)-Imberbic acid |
| Formula |
C30H48O4 |
| Mw |
472.35526002 |
| CAS RN |
114076-53-8 |
| C_ID |
C00050819
|
| InChIKey |
XXQXGYPRYCZLIA-LHZMWXMYNA-N |
| InChICode |
InChI=1S/C30H48O4/c1-25(2)20-10-11-29(6)21(30(20,7)23(32)16-22(25)31)9-8-18-19-17-27(4,24(33)34)13-12-26(19,3)14-15-28(18,29)5/h8,19-23,31-32H,9-17H2,1-7H3,(H,33,34)/t19-,20-,21-,22-,23-,26+,27+,28+,29+,30-/m0/s1 |
| SMILES |
CC1(C)[C@@H](O)C[C@H](O)[C@]2(C)[C@H]3CC=C4[C@@H]5C[C@](C)(OC=O)CC[C@]5(C)CC[C@@]4(C)[C@]3(C)CC[C@@H]12 |
| Start Substs in Alk. Biosynthesis (Prediction) |
|
| Organism |
| Kingdom |
Family |
Species |
Reference |
| Plantae | Combretaceae | Combretum imberbe  | Ref. |
|
|
zoom in
|