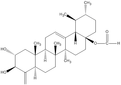
| Name |
Ilekudinol B |
| Formula |
C29H44O4 |
| Mw |
456.32395989 |
| CAS RN |
242794-72-5 |
| C_ID |
C00050815
|
| InChIKey |
PMCODVSMBWEYII-WMTQRMILNA-N |
| InChICode |
InChI=1S/C29H44O4/c1-16-9-12-29(25(32)33)14-13-27(5)20(23(29)17(16)2)7-8-22-26(4)15-21(30)24(31)18(3)19(26)10-11-28(22,27)6/h7,16-17,19,21-24,30-31H,3,8-15H2,1-2,4-6H3,(H,32,33)/t16-,17+,19+,21-,22-,23+,24-,26+,27-,28-,29+/m1/s1 |
| SMILES |
C=C1[C@@H](O)[C@H](O)C[C@]2(C)[C@H]3CC=C4[C@@H]5[C@@H](C)[C@H](C)CC[C@]5(OC=O)CC[C@@]4(C)[C@]3(C)CC[C@@H]12 |
| Start Substs in Alk. Biosynthesis (Prediction) |
|
| Organism |
| Kingdom |
Family |
Species |
Reference |
| Plantae | Aquifoliaceae | Ilex asprella | Ref. |
| Plantae | Aquifoliaceae | Ilex kudingcha | Ref. |
|
|
zoom in
|