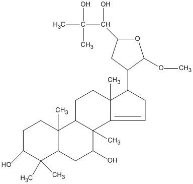
| Name |
21-O-Methyltoosendanpentol |
| Formula |
C31H52O6 |
| Mw |
520.37638939 |
| CAS RN |
121850-10-0 |
| C_ID |
C00050660
|
| InChIKey |
SBQFQOLBZXKZRP-UHFFFAOYNA-N |
| InChICode |
InChI=1S/C31H52O6/c1-27(2)22-16-24(33)31(7)20-10-9-18(17-15-19(37-26(17)36-8)25(34)28(3,4)35)29(20,5)13-11-21(31)30(22,6)14-12-23(27)32/h10,17-19,21-26,32-35H,9,11-16H2,1-8H3 |
| SMILES |
COC1OC(C(O)C(C)(C)O)CC1C1CC=C2C1(C)CCC1C3(C)CCC(O)C(C)(C)C3CC(O)C21C |
| Start Substs in Alk. Biosynthesis (Prediction) |
|
| Organism |
| Kingdom |
Family |
Species |
Reference |
| Plantae | Meliaceae | Melia toosendan  | Ref. |
|
|
zoom in
|