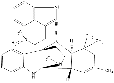
| Name |
Auricularine |
| Formula |
C33H42N4 |
| Mw |
494.34094737 |
| CAS RN |
73706-32-8 |
| C_ID |
C00050538
|
| InChIKey |
RTHNIWHULJBNTJ-ROLOPXHNSA-N |
| InChICode |
InChI=1S/C33H42N4/c1-21-19-25-28(31(2,3)20-21)29(30-23(15-17-36(4)5)22-11-7-9-13-26(22)34-30)32-16-18-37(6)33(25,32)35-27-14-10-8-12-24(27)32/h7-14,19,25,28-29,34-35H,15-18,20H2,1-6H3/t25-,28-,29-,32?,33?/m0/s1 |
| SMILES |
CC1=C[C@H]2[C@@H]([C@@H](c3[nH]c4ccccc4c3CCN(C)C)[C@]34CCN(C)[C@]23Nc2ccccc24)C(C)(C)C1 |
| Start Substs in Alk. Biosynthesis (Prediction) |
|
| Organism |
| Kingdom |
Family |
Species |
Reference |
| Plantae | Rubiaceae | Hedyotis auricularia | Ref. |
|
|
zoom in
|