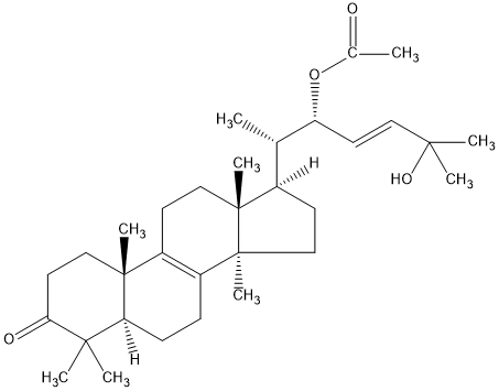
| Name |
(20S,22S,23E)-22-O-Acetyl-25-hydroxylanosta-8,23(E)-dien-3-one |
| Formula |
C32H50O4 |
| Mw |
498.37091008 |
| CAS RN |
631920-52-0 |
| C_ID |
C00050502
|
| InChIKey |
HIOCTGSCXFLFKE-OPZSKAJMSA-N |
| InChICode |
InChI=1S/C32H50O4/c1-20(25(36-21(2)33)14-16-28(3,4)35)22-12-18-32(9)24-10-11-26-29(5,6)27(34)15-17-30(26,7)23(24)13-19-31(22,32)8/h14,16,20,22,25-26,35H,10-13,15,17-19H2,1-9H3/b16-14+/t20-,22+,25+,26-,30+,31+,32-/m0/s1 |
| SMILES |
CC(=O)O[C@H](/C=C/C(C)(C)O)[C@@H](C)[C@H]1CC[C@@]2(C)C3=C(CC[C@]12C)[C@@]1(C)CCC(=O)C(C)(C)[C@@H]1CC3 |
| Start Substs in Alk. Biosynthesis (Prediction) |
|
| Organism |
| Kingdom |
Family |
Species |
Reference |
| - | - | Scleroderma citrinum  | Ref. |
|
|
zoom in
|