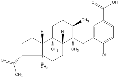
| Name |
Comnostin E (+)-Comnostin E |
| Formula |
C27H38O4 |
| Mw |
426.2770097 |
| CAS RN |
263842-20-2 |
| C_ID |
C00046684
, 
|
| InChIKey |
PCLWWUDFTVTRTJ-LVELOPEQNA-N |
| InChICode |
InChI=1S/C27H38O4/c1-16-10-12-26(4)22-9-7-20(17(2)28)25(22,3)13-11-23(26)27(16,5)15-19-14-18(24(30)31)6-8-21(19)29/h6,8,14,16,20,22-23,29H,7,9-13,15H2,1-5H3,(H,30,31)/t16-,20+,22-,23-,25-,26-,27-/m1/s1 |
| SMILES |
CC(=O)[C@@H]1CC[C@@H]2[C@@]3(C)CC[C@@H](C)[C@@](C)(Cc4cc(C(=O)O)ccc4O)[C@@H]3CC[C@]21C |
| Start Substs in Alk. Biosynthesis (Prediction) |
|
| Organism |
| Kingdom |
Family |
Species |
Reference |
| Bacteria | Nostocaceae | Nostoc commune  | Ref. |
|
|
zoom in
|