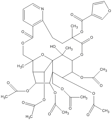
| Name |
Wilfornine D |
| Formula |
C43H49NO21 |
| Mw |
915.27970764 |
| CAS RN |
345954-03-2 |
| C_ID |
C00046515
, 
|
| InChIKey |
BBAJDSBWLRFBMI-UHFFFAOYNA-N |
| InChICode |
InChI=1S/C43H49NO21/c1-20(45)56-19-42-34(61-24(5)49)30(58-21(2)46)29-32(60-23(4)48)43(42)41(9,54)33(31(59-22(3)47)35(42)62-25(6)50)63-38(53)39(7,64-36(51)26-13-16-55-17-26)14-12-28-27(11-10-15-44-28)37(52)57-18-40(29,8)65-43/h10-11,13,15-17,29-35,54H,12,14,18-19H2,1-9H3/t29-,30-,31+,32+,33+,34+,35+,39-,40-,41+,42-,43+/m0/s1 |
| SMILES |
CC(=O)OCC12C(OC(C)=O)C(OC(C)=O)C3C(OC(C)=O)C14OC3(C)COC(=O)c1cccnc1CCC(C)(OC(=O)c1ccoc1)C(=O)OC(C(OC(C)=O)C2OC(C)=O)C4(C)O |
| Start Substs in Alk. Biosynthesis (Prediction) |
L-Asp L-His |
| Organism |
| Kingdom |
Family |
Species |
Reference |
| Plantae | Celastraceae | Tripterygium wilfordii  | Ref. |
|
|
zoom in
|