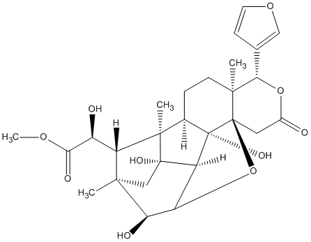
| Name |
Khayanolide B (-)-Khayanolide B |
| Formula |
C27H34O10 |
| Mw |
518.21519731 |
| CAS RN |
300833-57-2 |
| C_ID |
C00046062
, 
|
| InChIKey |
ZDYKUDUSNJTTKV-FLLBYZRDNA-N |
| InChICode |
InChI=1S/C27H34O10/c1-22-11-25(32)18-16(19(22)30)37-26-9-14(28)36-20(12-6-8-35-10-12)23(26,2)7-5-13(27(18,26)33)24(25,3)17(22)15(29)21(31)34-4/h6,8,10,13,15-20,29-30,32-33H,5,7,9,11H2,1-4H3/t13-,15+,16-,17+,18+,19-,20+,22-,23+,24-,25+,26-,27+/m1/s1 |
| SMILES |
COC(=O)[C@@H](O)[C@H]1[C@@]2(C)C[C@]3(O)[C@@H]4C(O[C@]56CC(=O)O[C@@H](c7ccoc7)[C@]5(C)CC[C@H]([C@]13C)[C@]46O)[C@H]2O |
| Start Substs in Alk. Biosynthesis (Prediction) |
|
| Organism |
| Kingdom |
Family |
Species |
Reference |
| Plantae | Meliaceae | Khaya ivorensis  | Ref. |
| Plantae | Meliaceae | Khaya senegalensis  | Ref. |
|
|
zoom in
|