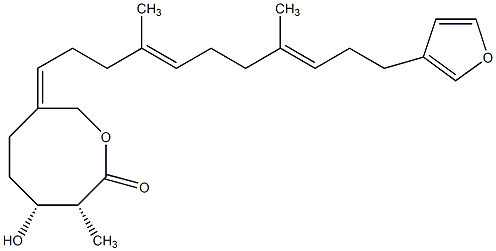
| Name |
Astakolactin (-)-Astakolactin |
| Formula |
C25H36O4 |
| Mw |
400.26135964 |
| CAS RN |
508226-57-1 |
| C_ID |
C00044553
, 
|
| InChIKey |
VRWCUJQWBMHNBO-YCPDOQMUNA-N |
| InChICode |
InChI=1S/C25H36O4/c1-19(7-4-8-20(2)10-6-12-23-15-16-28-17-23)9-5-11-22-13-14-24(26)21(3)25(27)29-18-22/h7,10-11,15-17,21,24,26H,4-6,8-9,12-14,18H2,1-3H3/b19-7+,20-10+,22-11-/t21-,24-/m1/s1 |
| SMILES |
C/C(=CCC/C(C)=C/CCc1ccoc1)CC/C=C1/CC[C@@H](O)[C@@H](C)C(=O)OC1 |
| Start Substs in Alk. Biosynthesis (Prediction) |
|
| Organism |
| Kingdom |
Family |
Species |
Reference |
| - | - | Cacospongia scalaris | Ref. |
|
|
zoom in
|