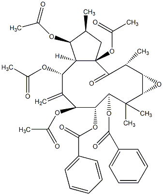
| Name |
Kansuinin F (+)-Kansuinin F |
| Formula |
C42H48O14 |
| Mw |
776.30440624 |
| CAS RN |
770715-04-3 |
| C_ID |
C00043628
, 
|
| InChIKey |
PJXPCKIXYVFTNT-VFPUUXGGNA-N |
| InChICode |
InChI=1S/C42H48O14/c1-21-20-42(56-27(7)46)30(31(21)50-24(4)43)32(51-25(5)44)22(2)33(52-26(6)45)35(54-39(48)28-16-12-10-13-17-28)38(55-40(49)29-18-14-11-15-19-29)41(8,9)37-34(53-37)23(3)36(42)47/h10-19,21,23,30-35,37-38H,2,20H2,1,3-9H3/t21-,23+,30+,31-,32-,33-,34-,35+,37-,38-,42+/m0/s1 |
| SMILES |
C=C1[C@H](OC(C)=O)[C@@H](OC(=O)c2ccccc2)[C@H](OC(=O)c2ccccc2)C(C)(C)[C@H]2O[C@H]2[C@@H](C)C(=O)[C@@]2(OC(C)=O)C[C@H](C)[C@H](OC(C)=O)[C@@H]2[C@H]1OC(C)=O |
| Start Substs in Alk. Biosynthesis (Prediction) |
|
| Organism |
| Kingdom |
Family |
Species |
Reference |
| Plantae | Euphorbiaceae | Euphorbia kansui  | Ref. |
|
|
zoom in
|