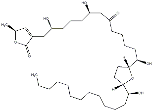
| Name |
Montanacin C (-)-Montanacin C |
| Formula |
C35H62O8 |
| Mw |
610.44446896 |
| CAS RN |
273199-67-0 |
| C_ID |
C00033202
, 
|
| InChIKey |
UMUGAIJXYAHMPF-RQCYUPHJNA-N |
| InChICode |
InChI=1S/C35H62O8/c1-3-4-5-6-7-8-9-10-11-12-19-31(39)33-21-22-34(43-33)32(40)20-14-13-16-29(37)25-30(38)18-15-17-28(36)24-27-23-26(2)42-35(27)41/h23,26,28,30-34,36,38-40H,3-22,24-25H2,1-2H3/t26-,28+,30+,31-,32+,33-,34+/m0/s1 |
| SMILES |
CCCCCCCCCCCC[C@H](O)[C@@H]1CC[C@H]([C@H](O)CCCCC(=O)C[C@H](O)CCC[C@@H](O)CC2=C[C@H](C)OC2=O)O1 |
| Start Substs in Alk. Biosynthesis (Prediction) |
|
| Organism |
| Kingdom |
Family |
Species |
Reference |
| Plantae | Annonaceae | Annona montana  | Ref. |
|
|
zoom in
|