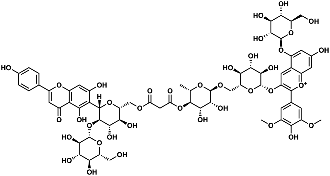
| Name |
Oxalis Anthocyanin-flavone dimer |
| Formula |
C65H75O38+ |
| Mw |
1463.39363304 |
| CAS RN |
934754-96-8 |
| C_ID |
C00054451
|
| InChIKey |
UWWGTLKSECYDAS-BYQJFPOYSA-O |
| InChICode |
InChI=1S/C65H74O38/c1-20-58(102-40(73)15-39(72)91-18-37-47(78)52(83)61(103-65-56(87)50(81)45(76)36(17-67)100-65)60(96-37)42-27(71)14-31-41(48(42)79)26(70)13-28(94-31)21-4-6-23(68)7-5-21)53(84)57(88)62(93-20)92-19-38-46(77)51(82)55(86)64(101-38)98-34-12-25-29(95-59(34)22-8-32(89-2)43(74)33(9-22)90-3)10-24(69)11-30(25)97-63-54(85)49(80)44(75)35(16-66)99-63/h4-14,20,35-38,44-47,49-58,60-67,75-78,80-88H,15-19H2,1-3H3,(H4-,68,69,70,71,74,79)/p+1/t20-,35+,36+,37+,38+,44+,45+,46+,47+,49-,50-,51-,52-,53-,54+,55+,56+,57+,58-,60-,61+,62+,63+,64+,65-/m0/s1 |
| SMILES |
COc1cc(-c2[o+]c3cc(O)cc(O[C@@H]4O[C@H](CO)[C@@H](O)[C@H](O)[C@H]4O)c3cc2O[C@@H]2O[C@H](CO[C@@H]3O[C@@H](C)[C@H](OC(=O)CC(=O)OC[C@H]4O[C@@H](c5c(O)cc6oc(-c7ccc(O)cc7)cc(=O)c6c5O)[C@H](O[C@@H]5O[C@H](CO)[C@@H](O)[C@H](O)[C@H]5O)[C@@H](O)[C@@H]4O)[C@@H](O)[C@H]3O)[C@@H](O)[C@H](O)[C@H]2O)cc(OC)c1O |
| Start Substs in Alk. Biosynthesis (Prediction) |
|
| Organism |
| Kingdom |
Family |
Species |
Reference |
| Plantae | Oxalidaceae | Oxalis triangularis | Ref. |
|
|
zoom in
| Organism | Oxalis triangularis | | Reference | Fossen, T. et al., Phytochemistry, 2007, 68, 652-662 (isol, uv, pmr, cmr, ms) |
|---|
|