| Name |
MCTI II |
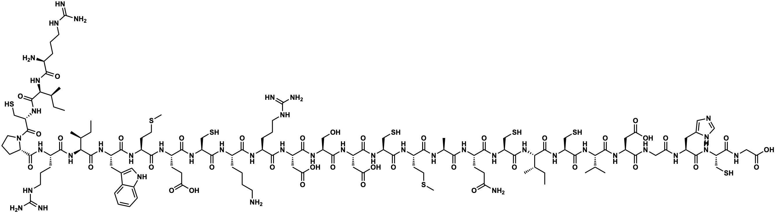
| Formula |
C129H210N42O39S8 |
| Mw |
3227.35060112 |
| CAS RN |
119674-18-9 |
| C_ID |
C00056602
|
| InChIKey |
ABKDKZVWPBURJI-ZUEJJSRRSA-N |
| InChICode |
InChI=1S/C129H210N42O39S8/c1-12-61(6)98(168-102(186)68(131)24-19-37-140-127(133)134)125(209)166-88(58-216)126(210)171-40-22-29-89(171)121(205)155-72(28-21-39-142-129(137)138)111(195)169-99(62(7)13-2)123(207)158-77(43-65-48-143-69-25-16-15-23-67(65)69)112(196)153-76(35-42-218-11)110(194)152-74(31-33-92(175)176)109(193)162-84(54-212)117(201)151-70(26-17-18-36-130)106(190)150-71(27-20-38-141-128(135)136)107(191)156-80(46-94(179)180)114(198)160-82(52-172)116(200)157-81(47-95(181)182)115(199)164-85(55-213)118(202)154-75(34-41-217-10)105(189)147-64(9)101(185)149-73(30-32-90(132)173)108(192)163-86(56-214)120(204)170-100(63(8)14-3)124(208)165-87(57-215)119(203)167-97(60(4)5)122(206)159-79(45-93(177)178)103(187)144-50-91(174)148-78(44-66-49-139-59-146-66)113(197)161-83(53-211)104(188)145-51-96(183)184/h15-16,23,25,48-49,59-64,68,70-89,97-100,143,172,211-216H,12-14,17-22,24,26-47,50-58,130-131H2,1-11H3,(H2,132,173)(H,139,146)(H,144,187)(H,145,188)(H,147,189)(H,148,174)(H,149,185)(H,150,190)(H,151,201)(H,152,194)(H,153,196)(H,154,202)(H,155,205)(H,156,191)(H,157,200)(H,158,207)(H,159,206)(H,160,198)(H,161,197)(H,162,193)(H,163,192)(H,164,199)(H,165,208)(H,166,209)(H,167,203)(H,168,186)(H,169,195)(H,170,204)(H,175,176)(H,177,178)(H,179,180)(H,181,182)(H,183,184)(H4,133,134,140)(H4,135,136,141)(H4,137,138,142)/t61-,62-,63-,64-,68-,70-,71-,72-,73-,74-,75-,76-,77-,78-,79-,80-,81-,82-,83-,84-,85-,86-,87-,88-,89-,97-,98-,99-,100-/m0/s1 |
| SMILES |
CC[C@H](C)[C@H](NC(=O)[C@H](CCCNC(=N)N)NC(=O)[C@@H]1CCCN1C(=O)[C@H](CS)NC(=O)[C@@H](NC(=O)[C@@H](N)CCCNC(=N)N)[C@@H](C)CC)C(=O)N[C@@H](Cc1c[nH]c2ccccc12)C(=O)N[C@@H](CCSC)C(=O)N[C@@H](CCC(=O)O)C(=O)N[C@@H](CS)C(=O)N[C@@H](CCCCN)C(=O)N[C@@H](CCCNC(=N)N)C(=O)N[C@@H](CC(=O)O)C(=O)N[C@@H](CO)C(=O)N[C@@H](CC(=O)O)C(=O)N[C@@H](CS)C(=O)N[C@@H](CCSC)C(=O)N[C@@H](C)C(=O)N[C@@H](CCC(N)=O)C(=O)N[C@@H](CS)C(=O)N[C@H](C(=O)N[C@@H](CS)C(=O)N[C@H](C(=O)N[C@@H](CC(=O)O)C(=O)NCC(=O)N[C@@H](Cc1cnc[nH]1)C(=O)N[C@@H](CS)C(=O)NCC(=O)O)C(C)C)[C@@H](C)CC |
| Start Substs in Alk. Biosynthesis (Prediction) |
|
| Organism |
| Kingdom |
Family |
Species |
Reference |
| Plantae | Cucurbitaceae | Momordica charantia  | Ref. |
|
|
zoom in
| Organism | Momordica charantia | | Reference | Hara, S. et al., J. Biochem. (Tokyo), 1989, 105, 88-92 (isol, struct) |
|---|
|