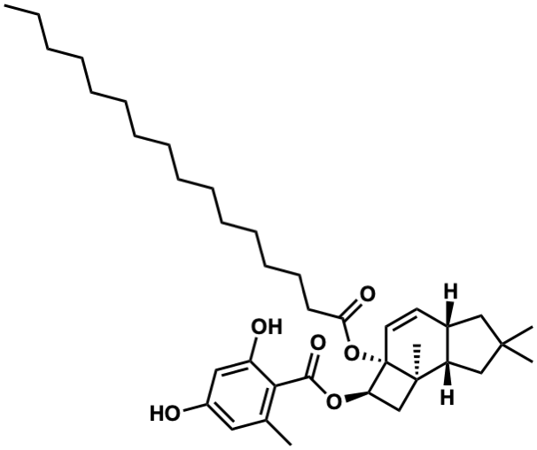
| Name |
Armillatin |
| Formula |
C38H58O6 |
| Mw |
610.42333958 |
| CAS RN |
139051-17-5 |
| C_ID |
C00055509
|
| InChIKey |
SFZLJVNEGHGCDQ-JMUGSSTBSA-N |
| InChICode |
InChI=1S/C38H58O6/c1-6-7-8-9-10-11-12-13-14-15-16-17-18-19-33(41)44-38-21-20-28-24-36(3,4)25-30(28)37(38,5)26-32(38)43-35(42)34-27(2)22-29(39)23-31(34)40/h20-23,28,30,32,39-40H,6-19,24-26H2,1-5H3/t28-,30+,32-,37-,38+/m1/s1 |
| SMILES |
CCCCCCCCCCCCCCCC(=O)O[C@]12C=C[C@@H]3CC(C)(C)C[C@@H]3[C@@]1(C)C[C@H]2OC(=O)c1c(C)cc(O)cc1O |
| Start Substs in Alk. Biosynthesis (Prediction) |
|
| Organism |
| Kingdom |
Family |
Species |
Reference |
| Fungi | Physalacriaceae | Armillaria mellea  | Ref. |
|
|
zoom in
| Organism | Armillaria mellea | | Reference | Yang, J.S. et al., Planta Med., 1991, 57, 478 (isol, pmr, cmr) |
|---|
|