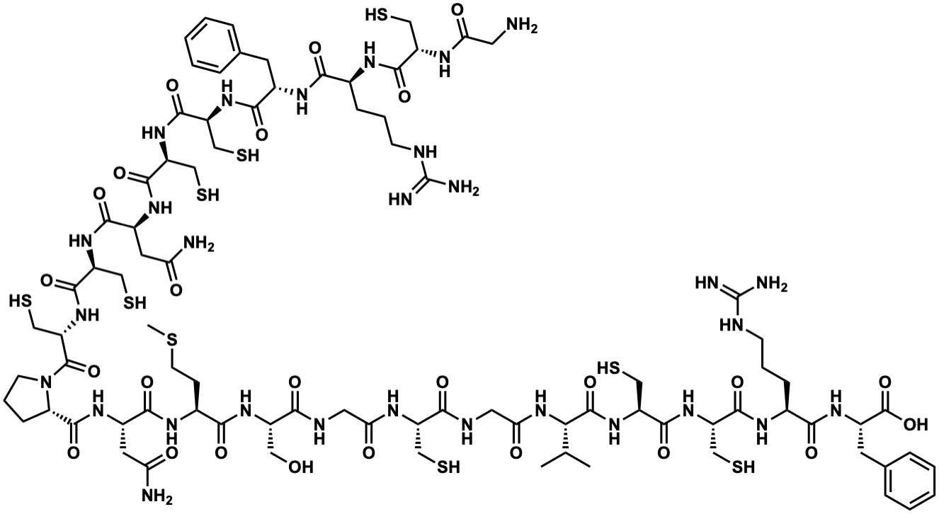
| Name |
Bass hepcidin |
| Formula |
C86H135N29O25S9 |
| Mw |
2261.76702765 |
| CAS RN |
452112-54-8 |
| C_ID |
C00055269
|
| InChIKey |
WRICMBZEVBHDEU-QBYCIMDWSA-N |
| InChICode |
InChI=1S/C86H135N29O25S9/c1-41(2)66(82(137)112-58(39-147)79(134)110-54(35-143)76(131)101-45(18-11-22-95-86(92)93)70(125)106-50(84(139)140)26-43-15-8-5-9-16-43)114-65(121)31-97-68(123)52(33-141)99-64(120)30-96-67(122)51(32-116)107-71(126)46(20-24-149-3)102-73(128)49(28-62(89)118)105-81(136)60-19-12-23-115(60)83(138)59(40-148)113-80(135)57(38-146)109-74(129)48(27-61(88)117)104-77(132)55(36-144)111-78(133)56(37-145)108-72(127)47(25-42-13-6-4-7-14-42)103-69(124)44(17-10-21-94-85(90)91)100-75(130)53(34-142)98-63(119)29-87/h4-9,13-16,41,44-60,66,116,141-148H,10-12,17-40,87H2,1-3H3,(H2,88,117)(H2,89,118)(H,96,122)(H,97,123)(H,98,119)(H,99,120)(H,100,130)(H,101,131)(H,102,128)(H,103,124)(H,104,132)(H,105,136)(H,106,125)(H,107,126)(H,108,127)(H,109,129)(H,110,134)(H,111,133)(H,112,137)(H,113,135)(H,114,121)(H,139,140)(H4,90,91,94)(H4,92,93,95)/t44-,45-,46-,47-,48-,49-,50-,51-,52-,53-,54-,55-,56-,57-,58-,59-,60-,66-/m0/s1 |
| SMILES |
CSCC[C@H](NC(=O)[C@H](CC(N)=O)NC(=O)[C@@H]1CCCN1C(=O)[C@H](CS)NC(=O)[C@H](CS)NC(=O)[C@H](CC(N)=O)NC(=O)[C@H](CS)NC(=O)[C@H](CS)NC(=O)[C@H](Cc1ccccc1)NC(=O)[C@H](CCCNC(=N)N)NC(=O)[C@H](CS)NC(=O)CN)C(=O)N[C@@H](CO)C(=O)NCC(=O)N[C@@H](CS)C(=O)NCC(=O)N[C@H](C(=O)N[C@@H](CS)C(=O)N[C@@H](CS)C(=O)N[C@@H](CCCNC(=N)N)C(=O)N[C@@H](Cc1ccccc1)C(=O)O)C(C)C |
| Start Substs in Alk. Biosynthesis (Prediction) |
|
| Organism |
| Kingdom |
Family |
Species |
Reference |
| - | - | Morone chrysops x Morone saxatilis  | Ref. |
|
|
zoom in
| Organism | Morone chrysops x Morone saxatilis | | Reference | Shike, H. et al., Eur. J. Biochem., 2002, 269, 2232-2237 (isol) |
|---|
|