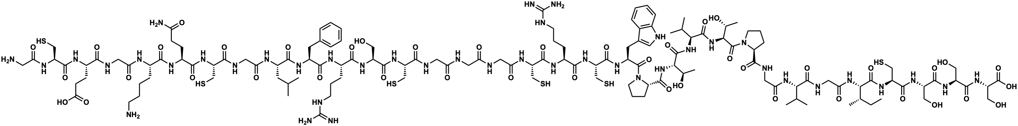
| Name |
Momordica cochinchinensis Cytotoxic peptide 1 |
| Formula |
C134H214N42O43S6 |
| Mw |
3291.41741828 |
| CAS RN |
1175560-58-3 |
| C_ID |
C00054281
|
| InChIKey |
KFYRMHGEVOENOH-UGTAVEGUSA-N |
| InChICode |
InChI=1S/C134H214N42O43S6/c1-11-66(8)105(128(214)169-90(62-225)123(209)164-81(53-177)117(203)163-82(54-178)118(204)165-84(56-180)132(218)219)171-101(191)52-151-126(212)103(64(4)5)170-100(190)51-150-124(210)91-30-21-40-176(91)131(217)107(68(10)182)174-127(213)104(65(6)7)172-129(215)106(67(9)181)173-125(211)92-31-22-39-175(92)130(216)80(43-70-45-144-72-26-16-15-25-71(70)72)161-122(208)89(61-224)168-113(199)75(29-20-38-143-134(140)141)157-121(207)88(60-223)155-97(187)48-146-95(185)46-145-96(186)47-147-109(195)86(58-221)167-119(205)83(55-179)162-112(198)74(28-19-37-142-133(138)139)156-116(202)79(42-69-23-13-12-14-24-69)160-115(201)78(41-63(2)3)153-99(189)50-149-110(196)85(57-220)166-114(200)77(32-34-93(137)183)159-111(197)73(27-17-18-36-135)152-98(188)49-148-108(194)76(33-35-102(192)193)158-120(206)87(59-222)154-94(184)44-136/h12-16,23-26,45,63-68,73-92,103-107,144,177-182,220-225H,11,17-22,27-44,46-62,135-136H2,1-10H3,(H2,137,183)(H,145,186)(H,146,185)(H,147,195)(H,148,194)(H,149,196)(H,150,210)(H,151,212)(H,152,188)(H,153,189)(H,154,184)(H,155,187)(H,156,202)(H,157,207)(H,158,206)(H,159,197)(H,160,201)(H,161,208)(H,162,198)(H,163,203)(H,164,209)(H,165,204)(H,166,200)(H,167,205)(H,168,199)(H,169,214)(H,170,190)(H,171,191)(H,172,215)(H,173,211)(H,174,213)(H,192,193)(H,218,219)(H4,138,139,142)(H4,140,141,143)/t66-,67+,68+,73-,74-,75-,76-,77-,78-,79-,80-,81-,82-,83-,84-,85-,86-,87-,88-,89-,90-,91-,92-,103-,104-,105-,106-,107-/m0/s1 |
| SMILES |
CC[C@H](C)[C@H](NC(=O)CNC(=O)[C@@H](NC(=O)CNC(=O)[C@@H]1CCCN1C(=O)[C@@H](NC(=O)[C@@H](NC(=O)[C@@H](NC(=O)[C@@H]1CCCN1C(=O)[C@H](Cc1c[nH]c2ccccc12)NC(=O)[C@H](CS)NC(=O)[C@H](CCCNC(=N)N)NC(=O)[C@H](CS)NC(=O)CNC(=O)CNC(=O)CNC(=O)[C@H](CS)NC(=O)[C@H](CO)NC(=O)[C@H](CCCNC(=N)N)NC(=O)[C@H](Cc1ccccc1)NC(=O)[C@H](CC(C)C)NC(=O)CNC(=O)[C@H](CS)NC(=O)[C@H](CCC(N)=O)NC(=O)[C@H](CCCCN)NC(=O)CNC(=O)[C@H](CCC(=O)O)NC(=O)[C@H](CS)NC(=O)CN)[C@@H](C)O)C(C)C)[C@@H](C)O)C(C)C)C(=O)N[C@@H](CS)C(=O)N[C@@H](CO)C(=O)N[C@@H](CO)C(=O)N[C@@H](CO)C(=O)O |
| Start Substs in Alk. Biosynthesis (Prediction) |
|
| Organism |
| Kingdom |
Family |
Species |
Reference |
| Plantae | Cucurbitaceae | Momordica cochinchinensis  | Ref. |
|
|
zoom in
| Organism | Momordica cochinchinensis | | Reference | Chan, L.Y. et al., J. Nat. Prod., 2009, 72, 1453-1458 (isol, ms, struct) |
|---|
|