|
|
"Twins" retrives similar metabolites in chemical structure. |
| last update : 2020.01.06 |
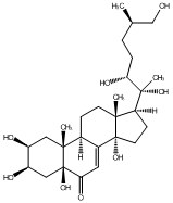
| INPUT WORD = C00048347 , 50% or more |
|
| [ Metabolite Name : Carthamosterone ] | |
| Number of matched data : 56 | |
| CID | Metabolite Name | Structural formula | Metabolite Activity | Similarity (%) |
|---|---|---|---|---|
| C00045448 | Viticosterone E (+)-Viticosterone E |
![]() |
96.15 | C00048241 | (24Z)-29-Hydroxy-24(28)-dehydromakisterone C (+)-(24Z)-29-Hydroxy-24(28)-dehydromakisterone C |
![]() |
96.15 | C00045323 | Integristerone A 25-acetate | ![]() |
94.94 | C00003649 | Cyasterone | ![]() |
94.87 | C00045167 | 20-Hydroxyecdysone 2-acetate | ![]() |
94.87 | C00048470 | Leuzeasterone (+)-Leuzeasterone |
![]() |
94.87 | C00031896 | Isocyasterone | ![]() |
93.59 | C00036469 | 20-Hydroxyecdysone-20,22-monoacetonide (+)-20-Hydroxyecdysone-20,22-monoacetonide |
![]() |
93.59 | C00048264 | 20-Hydroxyecdysone 2,3-monoacetonide (+)-20-Hydroxyecdysone 2,3-monoacetonide |
![]() |
93.59 | C00048265 | CID is old! | 93.59 | C00048269 | 24(28)-Dehydroamarasterone B | ![]() |
93.59 | C00003642 | Ajugalactone | ![]() |
92.31 | C00048256 | 1beta-Hydroxymakisterone C (+)-1beta-Hydroxymakisterone C |
![]() |
92.31 | C00048272 | 26-Hydroxymakisterone C (+)-26-Hydroxymakisterone C |
![]() |
92.31 | C00048428 | Inokosterone 20,22-acetonide | ![]() |
92.31 | C00048475 | Lemmasterone Makisteron C Makisterone C |
![]() |
92.31 | C00003666 | Polypodine B | ![]() |
91.03 | C00040785 | 1-epi-Integristerone A | ![]() |
91.03 | C00048266 | 22-Deoxy-28-hydroxymakisterone C (+)-22-Deoxy-28-hydroxymakisterone C |
![]() |
91.03 | C00048270 | 24(28)-Dehydromakisterone A | ![]() |
91.03 | C00048271 | 24-epi-Makisterone A | ![]() |
91.03 | C00048318 | Amarasterone A | ![]() |
91.03 | C00048429 | Integristerone A | ![]() |
91.03 | C00048431 | Integristerone B | ![]() |
91.03 | C00048521 | Rapisterone | ![]() |
91.03 | C00049393 | Palythoalone A (-)-Palythoalone A |
![]() |
91.03 | C00049632 | Decumbesterone A | ![]() |
91.03 | C00049793 | Gerardiasterone | ![]() |
91.03 | C00048514 | Polypodine B 20,22-acetonide | ![]() |
90.00 | C00003654 | 20-Hydroxyecdysone Ecdysterone beta-Ecdysterone |
![]() |
89.74 | C00039714 | Makisterone A | ![]() |
89.74 | C00040811 | 2-Dehydro-3-epi-20-hydroxyecdysone (+)-2-Dehydro-3-epi-20-hydroxyecdysone |
![]() |
89.74 | C00041048 | Malacosterone | ![]() |
89.74 | C00041077 | Panuosterone | ![]() |
89.74 | C00041079 | Paxillosterone | ![]() |
89.74 | C00041214 | Turkesterone | ![]() |
89.74 | C00048267 | 22-Oxo-20-hydroxyecdysone | ![]() |
89.74 | C00048286 | 3-epi-20-Hydroxyecdysone | ![]() |
89.74 | C00048305 | Achyranthesterone A (+)-Achyranthesterone A |
![]() |
89.74 | C00048349 | Carthamosterone B | ![]() |
89.74 | C00048523 | Rapisterone D | ![]() |
89.74 | C00049394 | Palythoalone B (+)-Palythoalone B |
![]() |
89.74 | C00038280 | 5,20,26-Trihydroxyecdysone 20,22-acetonide | ![]() |
89.02 | C00038227 | 2-Deoxy-5,20,26-trihydroxyecdysone 20,22-acetonide | ![]() |
88.75 | C00048430 | Integristerone A 20,22-acetonide | ![]() |
88.75 | C00003660 | Makisterone B | ![]() |
88.46 | C00038226 | 2-Deoxy-5,20,26-trihydroxyecdysone | ![]() |
88.46 | C00043570 | Herkesterone | ![]() |
88.46 | C00043834 | Polyporusterone A (+)-Polyporusterone A |
![]() |
88.46 | C00043836 | Polyporusterone C | ![]() |
88.46 | C00045464 | Zoanthusterone | ![]() |
88.46 | C00048292 | 5alpha-20-Hydroxyecdysone (+)-5alpha-20-Hydroxyecdysone |
![]() |
88.46 | C00048346 | Carthamoleusterone (+)-Carthamoleusterone |
![]() |
88.46 | C00048469 | Lesterone | ![]() |
88.46 | C00048522 | Rapisterone B | ![]() |
88.46 | C00049773 | 22-epi-20-Hydroxyecdysone | ![]() |
88.46 |