|
|
"Twins" retrives similar metabolites in chemical structure. |
| last update : 2020.01.06 |
| INPUT WORD = C00039535 , 50% or more |
|
| [ Metabolite Name : Kadlongilactone E , (-)-Kadlongilactone E ] | |
| Number of matched data : 80 | |
| CID | Metabolite Name | Structural formula | Metabolite Activity | Similarity (%) |
|---|---|---|---|---|
| C00039534 | Kadlongilactone D | ![]() |
95.00 | C00039531 | Kadlongilactone A (-)-Kadlongilactone A |
![]() |
93.67 | C00039533 | Kadlongilactone C | ![]() |
93.67 | C00039642 | Longipedlactone C (-)-Longipedlactone C |
![]() |
93.67 | C00039646 | Longipedlactone G (-)-Longipedlactone G |
![]() |
93.67 | C00039532 | Kadlongilactone B (-)-Kadlongilactone B |
![]() |
92.41 | C00039643 | Longipedlactone D (-)-Longipedlactone D |
![]() |
92.41 | C00039648 | Longipedlactone I (-)-Longipedlactone I |
![]() |
91.36 | C00039645 | Longipedlactone F (-)-Longipedlactone F |
![]() |
91.14 | C00039647 | Longipedlactone H (-)-Longipedlactone H |
![]() |
91.14 | C00038823 | Colossolactone E (+)-Colossolactone E |
![]() |
90.00 | C00039521 | Kadcoccilactone A (+)-Kadcoccilactone A |
![]() |
89.87 | C00039522 | Kadcoccilactone B (+)-Kadcoccilactone B |
![]() |
89.87 | C00039641 | Longipedlactone B (-)-Longipedlactone B |
![]() |
89.87 | C00039644 | Longipedlactone E (-)-Longipedlactone E |
![]() |
89.87 | C00049189 | Kadsulactone A | ![]() |
![]() |
89.87 | C00034032 | Longipedlactone J (-)-Longipedlactone J |
![]() |
89.02 | C00039523 | Kadcoccilactone C (+)-Kadcoccilactone C |
![]() |
88.61 | C00039524 | Kadcoccilactone D (+)-Kadcoccilactone D |
![]() |
88.61 | C00039640 | Longipedlactone A (-)-Longipedlactone A |
![]() |
88.61 | C00038827 | Colossolactone VIII | ![]() |
87.80 | C00030008 | Colossolactone IV (+)-Colossolactone IV |
![]() |
87.34 | C00042582 | Hippuristerol F (-)-Hippuristerol F |
![]() |
87.34 | C00044807 | Hippuristerone I (+)-Hippuristerone I |
![]() |
87.34 | C00044803 | Hippuristerone E (-)-Hippuristerone E |
![]() |
86.75 | C00045792 | Colossolactone F (+)-Colossolactone F |
![]() |
86.59 | C00023828 | Ganoderic acid I | ![]() |
86.08 | C00030354 | Ganoderic acid AP3 (+)-Ganoderic acid AP3 |
![]() |
86.08 | C00031312 | Schisanlactone A | ![]() |
86.08 | C00032621 | 24-Hydroxychiisanogenin (+)-24-Hydroxychiisanogenin |
![]() |
86.08 | C00034389 | 3beta-Acetoxy-16beta-hydroxybetulinic acid | ![]() |
86.08 | C00036540 | 3beta-Acetoxy-11alpha,13beta-dihydroxyolean-12-one | ![]() |
86.08 | C00038462 | Anomanolide D (+)-Anomanolide D |
![]() |
86.08 | C00041860 | Secaubryolide (+)-Secaubryolide |
![]() |
86.08 | C00042585 | Hippuristerone L (+)-Hippuristerone L |
![]() |
86.08 | C00045790 | Colossolactone B (+)-Colossolactone B |
![]() |
86.08 | C00046858 | Phyllofolactone J (+)-Phyllofolactone J |
![]() |
86.08 | C00047426 | Coronalolide | ![]() |
86.08 | C00049195 | Lancilactone A | ![]() |
86.08 | C00049196 | Lancilactone B (-)-Lancilactone B |
![]() |
86.08 | C00039538 | Kadsuphilactone A (+)-Kadsuphilactone A |
![]() |
85.71 | C00030004 | Colossolactone G | ![]() |
85.37 | C00037224 | Guavanoic acid | ![]() |
85.00 | C00039766 | Micrandilactone B (+)-Micrandilactone B |
![]() |
85.00 | C00040658 | Withangulatin G (+)-Withangulatin G |
![]() |
85.00 | C00044493 | Acinospesigenin A | ![]() |
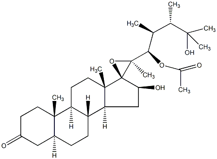
85.00 | C00046565 | 17beta,20beta-Epoxy-23,24-dimethylcholest-5-ene-3beta,22-diol 3beta,22-diacetate | ![]() |
85.00 | C00015073 | Anicequol NGA 0187 |
![]() |
84.81 | C00023820 | Ganoderic acid A 7beta,15alpha-Dihydroxy-3,11,23-trioxo-5alpha-lanost-8-en-26-oic acid |
![]() |
84.81 | C00023826 | Ganoderic acid G | ![]() |
84.81 | C00023829 | Ganoderic acid J | ![]() |
84.81 | C00023831 | Ganoderic acid L 3beta,7beta,15alpha,20-Tetrahydroxy-11,23-dioxo-5alpha-lanost-8-en-26-oic acid |
![]() |
84.81 | C00023843 | Ganoderic acid M 7beta,12alpha-Dihydroxy-3,11,15,23-tetraoxo-5alpha-lanost-8-en-26-oic acid |
![]() |
84.81 | C00023844 | Ganoderic acid N 7beta,20-Dihydroxy-3,11,15,23-tetraoxo-5alpha-lanost-8-en-26-oic acid |
![]() |
84.81 | C00023850 | Ganoderic acid V | ![]() |
84.81 | C00023852 | Ganoderic acid X | ![]() |
84.81 | C00023872 | Ganolucidic acid C 3beta,15alpha,29-Trihydroxy-11,23-dioxo-5alpha-lanost-8-en-26-oic acid |
![]() |
84.81 | C00023873 | (+)-Ganolucidic acid D 15alpha,23-Dihydroxy-3,11-dioxo-5alpha-lanosta-8,24E-dien-26-oic acid |
![]() |
84.81 | C00024061 | Methyl ganoderate K | ![]() |
84.81 | C00031803 | Ganoderic acid epsilon (+)-Ganoderic acid epsilon |
![]() |
84.81 | C00031804 | Ganoderic acid eta (+)-Ganoderic acid eta. |
![]() |
84.81 | C00031805 | Ganoderic acid theta (+)-Ganoderic acid theta. |
![]() |
84.81 | C00032437 | Tyromycic acid C (-)-Tyromycic acid C |
![]() |
84.81 | C00032812 | Chiisanogenin (+)-Chiisanogenin |
![]() |
84.81 | C00035186 | (20S)-3beta-Acetoxylupan-29-oic acid | ![]() |
84.81 | C00035242 | 3-O-Acetylbetulinic acid Acetylbetulinic acid (+)-Acetylbetulinic acid |
![]() |
84.81 | C00038015 | Wilforic acid D (-)-Wilforic acid D |
![]() |
84.81 | C00038674 | Cabraleadiol 3-acetate | ![]() |
84.81 | C00040579 | Tubonolide A (-)-Tubonolide A |
![]() |
84.81 | C00042581 | Hippuristerol E (+)-Hippuristerol E |
![]() |
84.81 | C00043530 | Ganoderic acid beta | ![]() |
84.81 | C00044806 | Hippuristerone H (+)-Hippuristerone H |
![]() |
84.81 | C00045197 | 8beta,9alpha-Dihydroganoderic acid J (+)-8beta,9alpha-Dihydroganoderic acid J |
![]() |
84.81 | C00045323 | Integristerone A 25-acetate | ![]() |
84.81 | C00045791 | Colossolactone D (+)-Colossolactone D |
![]() |
84.81 | C00046859 | Phyllofolactone K (+)-Phyllofolactone K |
![]() |
84.81 | C00048268 | 23-Hydroxy-mangiferonic acid | ![]() |
84.81 | C00048797 | Nebrosteroid G (+)-Nebrosteroid G |
![]() |
84.81 | C00049197 | Lancilactone C (+)-Lancilactone C |
![]() |
![]() |
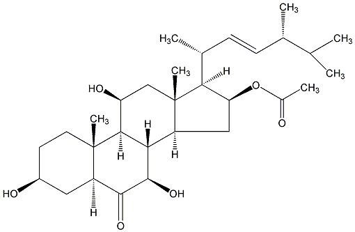
84.81 | C00049886 | Petrosaspongiolide N | ![]() |
84.81 |