|
|
"Twins" retrives similar metabolites in chemical structure. |
| last update : 2020.01.06 |
| INPUT WORD = C00039262 , 50% or more |
|
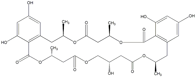
| [ Metabolite Name : Geomycin B ] | |
| Number of matched data : 51 | |
| CID | Metabolite Name | Structural formula | Metabolite Activity | Similarity (%) |
|---|---|---|---|---|
| C00039261 | Geomycin A | ![]() |
94.17 | C00044266 | Neosartorin (-)-Neosartorin |
![]() |
82.52 | C00015006 | Acremonidin D Cyan 416E |
![]() |
82.18 | C00048116 | Secalonic acid F | ![]() |
82.18 | C00041526 | Fucophlorethol-B octa-acetate | ![]() |
81.73 | C00006524 | Nallaflavanone | ![]() |
81.55 | C00037775 | Salvianolic acid E | ![]() |
81.31 | C00048115 | Secalonic acid D | ![]() |
81.19 | C00005937 | 6-Methoxykaempferol 3,7-bis(3-acetylrhamnoside) | ![]() |
80.39 | C00018259 | Secalonic acid B Acide secalonique B Ergochrome BB |
![]() |
80.20 | C00039263 | Geomycin C (-)-Geomycin C |
![]() |
80.20 | C00014682 | Anacarduflavanone | ![]() |
79.21 | C00039616 | Leptolepisol C 4-O-beta-D-glucopyranoside (-)-Leptolepisol C 4-O-beta-D-glucopyranoside |
![]() |
79.21 | C00038335 | 9,9'-O-di-(E)-feruloyl-(-)-secoisolariciresinol | ![]() |
78.50 | C00013945 | Patuletin 3-(6''-(E)-feruloylglucoside) Quercetagetin 6-methyl ether 3-(6''-(E)-feruloylglucoside) 2-(3,4-dihydroxyphenyl)-5,7-dihydroxy-3-[[6-O-[(2E)-3-(4-hydroxy-3-methoxyphenyl)-1-oxo-2-propenyl]-b-D-glucopyranosyl]oxy]-6-methoxy-4H-1-Benzopyran-4-one |
![]() |
78.22 | C00025854 | Dihydrosecocepharanthine | ![]() |
78.22 | C00033754 | Deacetylphomoxanthone B | ![]() |
78.22 | C00013757 | Kaempferol 3-apiosyl-(1->4)-rhamnoside-7-rhamnoside 3-[(4-O-D-apio-beta-D-furanosyl-6-deoxy-alpha-L-mannopyranosyl)oxy]-7-[(6-deoxy-alpha-L-mannopyranosyl)oxy]-5-hydroxy-2-(4-hydroxyphenyl)-4H-1-benzopyran-4-one |
![]() |
78.10 | C00050356 | Elgonica-dimer B | ![]() |
77.88 | C00043636 | Kunzeachromone B (-)-Kunzeachromone B |
![]() |
77.45 | C00004432 | 8-Hydroxyluteolin 4'-methyl ether 7-(6'''-acetylallosyl-(1->2)-glucoside | ![]() |
77.23 | C00008891 | Gallocatechin 7,3'-di-O-gallate | ![]() |
77.23 | C00025239 | (-)-Isocuricycleatjenine Isocuricycleatjenine |
![]() |
77.23 | C00025593 | (-)-2-Norisocepharanthine 2'-Nor-1-epicepharanthine |
![]() |
77.23 | C00027363 | Fenfangjine H | ![]() |
77.23 | C00028041 | Chenabinol methyl ether (+)-Chenabinol methyl ether (+)-O-Methylchenabinol |
![]() |
77.23 | C00033773 | Dicerandrol A (-)-Dicerandrol A |
![]() |
77.23 | C00043882 | Rugulotrosin B | ![]() |
77.23 | C00045069 | Secalonic acid A | ![]() |
77.23 | C00047381 | Alterporriol A (-)-Alterporriol A |
![]() |
77.23 | C00027562 | Malekulatine (+)-Malekulatine |
![]() |
76.70 | C00000681 | Haedoxan A | ![]() |
76.24 | C00002923 | Prodelphinidin B4 Gallocatechin-(4alpha->8)-epigallocatechin |
![]() |
![]() |
76.24 | C00004252 | Isoscutellarein 4'-methyl ether 7-(6'''-acetylallosyl)(1->2)-glucoside | ![]() |
76.24 | C00005630 | 6,8-Dihydroxykaempferol 3,6,7,4'-tetramethyl ether 8-neohesperidoside 8-[[2-O-(6-Deoxy-alpha-L-mannopyranosyl)-beta-D-glucopyranosyl]oxy]-5-hydroxy-3,6,7-trimethoxy-2-(4-methoxyphenyl)-4H-1-benzopyran-4-one |
![]() |
76.24 | C00005677 | Chrysosplenol C 6,4'-diglucoside | ![]() |
76.24 | C00013563 | Calycopterone (2R,7aS,11R,13S,14aR)-rel-(-)-2,3,12,13-Tetrahydro-8-hydroxy-6,7,7a,9,13-pentamethoxy-2,11-diphenyl-11H-furo[2,3-f:4,5-i']bis[1]benzopyran-5(7aH)-one |
![]() |
76.24 | C00014875 | Hirsutidin 3-O-(6-O-p-coumaroyl)glucoside | ![]() |
76.24 | C00016761 | BK 223B LL 15G256alpha1 NG 011 |
![]() |
76.24 | C00025928 | Limacusine 2'-beta-N-oxide (+)-Limacusine 2'-beta-N-oxide (+)-Limacusine 2-alpha-N-oxide |
![]() |
76.24 | C00026030 | Secocepharanthine | ![]() |
76.24 | C00036827 | Bonaspectin E | ![]() |
76.24 | C00036828 | Bonaspectin F | ![]() |
76.24 | C00038808 | Clemochinenoside B (+)-Clemochinenoside B |
![]() |
76.24 | C00005932 | Kaempferide 3-rhamnoside-7-(6''-succinylglucoside) | ![]() |
75.96 | C00006028 | Patuletin 3-(4''-acetylrhamnoside)-7-(3'''-acetylrhamnoside) | ![]() |
75.96 | C00039208 | Feruloylpodospermic acid A | ![]() |
75.73 | C00039010 | Dicerandrol B (-)-Dicerandrol B |
![]() |
75.70 | C00015717 | FR 191512 | ![]() |
75.68 | C00013872 | Quercetin 3-(6''-malonylneohesperidoside) Quercetin 3-O-(2''-O-alpha-rhamnosyl-6''-O-malonyl)-beta-glucoside 3-[[6-O-(carboxyacetyl)-2-O-(6-deoxy-alpha-L-mannopyranosyl)-beta-D-glucopyranosyl]oxy]-2-(3,4-dihydroxyphenyl)-5,7-dihydroxy-4H-1-benzopyran-4-one |
![]() |
75.49 | C00014830 | Malvidin 3-glucoside-5-(6-acetylglucoside) | ![]() |
75.49 |