input word = C00057908

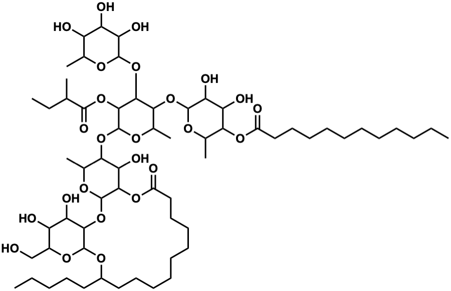
Metabolite InformationStructural formula
Name Simonin II
Formula C63H110O25
Mw 1266.73361907
CAS RN 151310-51-9
C_ID C00057908
InChIKey ZEVJZHRJNZKVGI-UHFFFAOYSA-N
InChICode InChI=1S/C63H110O25/c1-9-12-14-15-16-17-20-23-27-31-41(65)82-51-36(6)77-60(49(73)47(51)71)86-53-38(8)79-63(57(84-58(75)34(4)11-3)56(53)88-59-48(72)45(69)43(67)35(5)76-59)85-52-37(7)78-61-55(50(52)74)83-42(66)32-28-24-21-18-19-22-26-30-39(29-25-13-10-2)80-62-54(87-61)46(70)44(68)40(33-64)81-62/h34-40,43-57,59-64,67-74H,9-33H2,1-8H3
SMILES CCCCCCCCCCCC(=O)OC1C(C)OC(OC2C(C)OC(OC3C(C)OC4OC5C(OC(CCCCC)CCCCCCCCCC(=O)OC4C3O)OC(CO)C(O)C5O)C(OC(=O)C(C)CC)C2OC2OC(C)C(O)C(O)C2O)C(O)C1O
Start Substs in Alk. Biosynthesis (Prediction)
Organism
Kingdom Family Species Reference
PlantaeConvolvulaceaeIpomoea batatas Ref.
zoom in