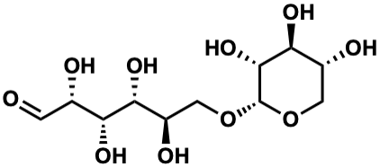
| Name |
Serotinose |
| Formula |
C11H20O10 |
| Mw |
312.10564686 |
| CAS RN |
534-98-5 |
| C_ID |
C00057427
|
| InChIKey |
XOPPYWGGTZVUFP-VUMGGCQHSA-N |
| InChICode |
InChI=1S/C11H20O10/c12-1-4(13)7(16)8(17)5(14)2-20-11-10(19)9(18)6(15)3-21-11/h1,4-11,13-19H,2-3H2/t4-,5+,6+,7+,8+,9-,10+,11-/m0/s1 |
| SMILES |
O=C[C@H](O)[C@@H](O)[C@H](O)[C@H](O)CO[C@H]1OC[C@@H](O)[C@H](O)[C@H]1O |
| Start Substs in Alk. Biosynthesis (Prediction) |
|
| Organism |
| Kingdom |
Family |
Species |
Reference |
| Plantae | Fabaceae | Tamarindus indica  | Ref. |
|
|
zoom in
|