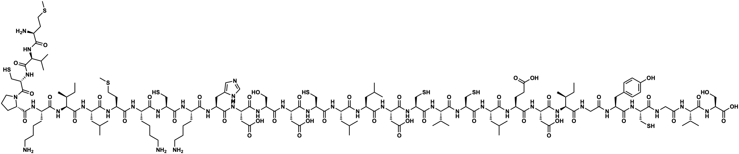
input word = C00055473

Metabolite InformationStructural formula
Name CSTI IIb
Formula C148H239N37O46S8
Mw 3526.52655936
CAS RN 95599-32-9
C_ID C00055473
InChIKey WROLZTYFDOIFEO-BLORGRDZSA-N
InChICode InChI=1S/C148H245N37O46S8/c1-21-77(17)117(142(224)155-59-107(189)157-92(52-79-34-36-81(188)37-35-79)130(212)174-100(63-232)120(202)154-60-108(190)180-114(74(11)12)143(225)173-99(62-187)148(230)231)183-135(217)97(57-113(199)200)167-123(205)86(38-39-109(191)192)160-126(208)88(48-70(3)4)164-139(221)103(66-235)178-144(226)116(76(15)16)182-140(222)104(67-236)177-133(215)95(55-111(195)196)168-129(211)89(49-71(5)6)163-128(210)90(50-72(7)8)165-138(220)102(65-234)176-134(216)96(56-112(197)198)170-136(218)98(61-186)172-132(214)94(54-110(193)194)169-131(213)93(53-80-58-153-69-156-80)166-121(203)83(30-23-26-42-149)159-137(219)101(64-233)175-122(204)84(31-24-27-43-150)158-124(206)87(41-47-239-20)161-127(209)91(51-73(9)10)171-146(228)118(78(18)22-2)184-125(207)85(32-25-28-44-151)162-141(223)106-33-29-45-185(106)147(229)105(68-237)179-145(227)115(75(13)14)181-119(201)82(152)40-46-238-19/h34-37,58,69-78,82-106,114-118,186-188,232-237H,21-33,38-57,59-68,149-152H2,1-20H3,(H,153,156)(H,154,202)(H,155,224)(H,157,189)(H,158,206)(H,159,219)(H,160,208)(H,161,209)(H,162,223)(H,163,210)(H,164,221)(H,165,220)(H,166,203)(H,167,205)(H,168,211)(H,169,213)(H,170,218)(H,171,228)(H,172,214)(H,173,225)(H,174,212)(H,175,204)(H,176,216)(H,177,215)(H,178,226)(H,179,227)(H,180,190)(H,181,201)(H,182,222)(H,183,217)(H,184,207)(H,191,192)(H,193,194)(H,195,196)(H,197,198)(H,199,200)(H,230,231)/t77-,78-,82-,83-,84-,85-,86-,87-,88-,89-,90-,91-,92-,93-,94-,95-,96-,97-,98-,99-,100-,101-,102-,103-,104-,105-,106-,114-,115-,116-,117-,118-/m0/s1
SMILES CC[C@H](C)[C@H](NC(=O)[C@H](CC(=O)O)NC(=O)[C@H](CCC(=O)O)NC(=O)[C@H](CC(C)C)NC(=O)[C@H](CS)NC(=O)[C@@H](NC(=O)[C@H](CS)NC(=O)[C@H](CC(=O)O)NC(=O)[C@H](CC(C)C)NC(=O)[C@H](CC(C)C)NC(=O)[C@H](CS)NC(=O)[C@H](CC(=O)O)NC(=O)[C@H](CO)NC(=O)[C@H](CC(=O)O)NC(=O)[C@H](Cc1cnc[nH]1)NC(=O)[C@H](CCCCN)NC(=O)[C@H](CS)NC(=O)[C@H](CCCCN)NC(=O)[C@H](CCSC)NC(=O)[C@H](CC(C)C)NC(=O)[C@@H](NC(=O)[C@H](CCCCN)NC(=O)[C@@H]1CCCN1C(=O)[C@H](CS)NC(=O)[C@@H](NC(=O)[C@@H](N)CCSC)C(C)C)[C@@H](C)CC)C(C)C)C(=O)NCC(=O)N[C@@H](Cc1ccc(O)cc1)C(=O)N[C@@H](CS)C(=O)NCC(=O)N[C@H](C(=O)N[C@@H](CO)C(=O)O)C(C)C
Start Substs in Alk. Biosynthesis (Prediction)
Organism
Kingdom Family Species Reference
PlantaeCucurbitaceaeCucumis sativus Ref.
zoom in