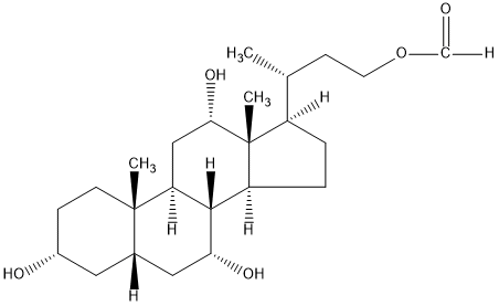
| Name |
Cholic acid |
| Formula |
C24H40O5 |
| Mw |
408.28757439 |
| CAS RN |
81-25-4 |
| C_ID |
C00050558
|
| InChIKey |
BHQCQFFYRZLCQQ-OELDTZBJSA-N |
| InChICode |
InChI=1S/C24H40O5/c1-13(4-7-21(28)29)16-5-6-17-22-18(12-20(27)24(16,17)3)23(2)9-8-15(25)10-14(23)11-19(22)26/h13-20,22,25-27H,4-12H2,1-3H3,(H,28,29)/t13-,14+,15-,16-,17+,18+,19-,20+,22+,23+,24-/m1/s1 |
| SMILES |
C[C@H](CCOC=O)[C@H]1CC[C@H]2[C@@H]3[C@H](O)C[C@@H]4C[C@H](O)CC[C@]4(C)[C@H]3C[C@H](O)[C@]12C |
| Start Substs in Alk. Biosynthesis (Prediction) |
|
| Organism |
| Kingdom |
Family |
Species |
Reference |
| Animalia | Bovidae | Bos taurus domesticus  | Ref. |
| - | - | Selenarctos thibetanus  | Ref. |
|
|
zoom in
|